Cette évolution s’est appuyée sur un nombre croissant de projets portés par la communauté scientifique de notre Institut et Haute École, ainsi que par l’action coordonnée de ses différentes structures: le Service Recherche & Innovation (R&I), le Source Innovation Lab (SILAB), le Hands-on Human Health Hub (H4), la simulation ainsi que les prestations de services. Ensemble, elles ont consolidé la capacité de l’institution à transformer les besoins du terrain en projets concrets, innovants et scientifiquement fondés, tout en contribuant à l’évolution des pratiques professionnelles.
Une recherche compétitive et visible
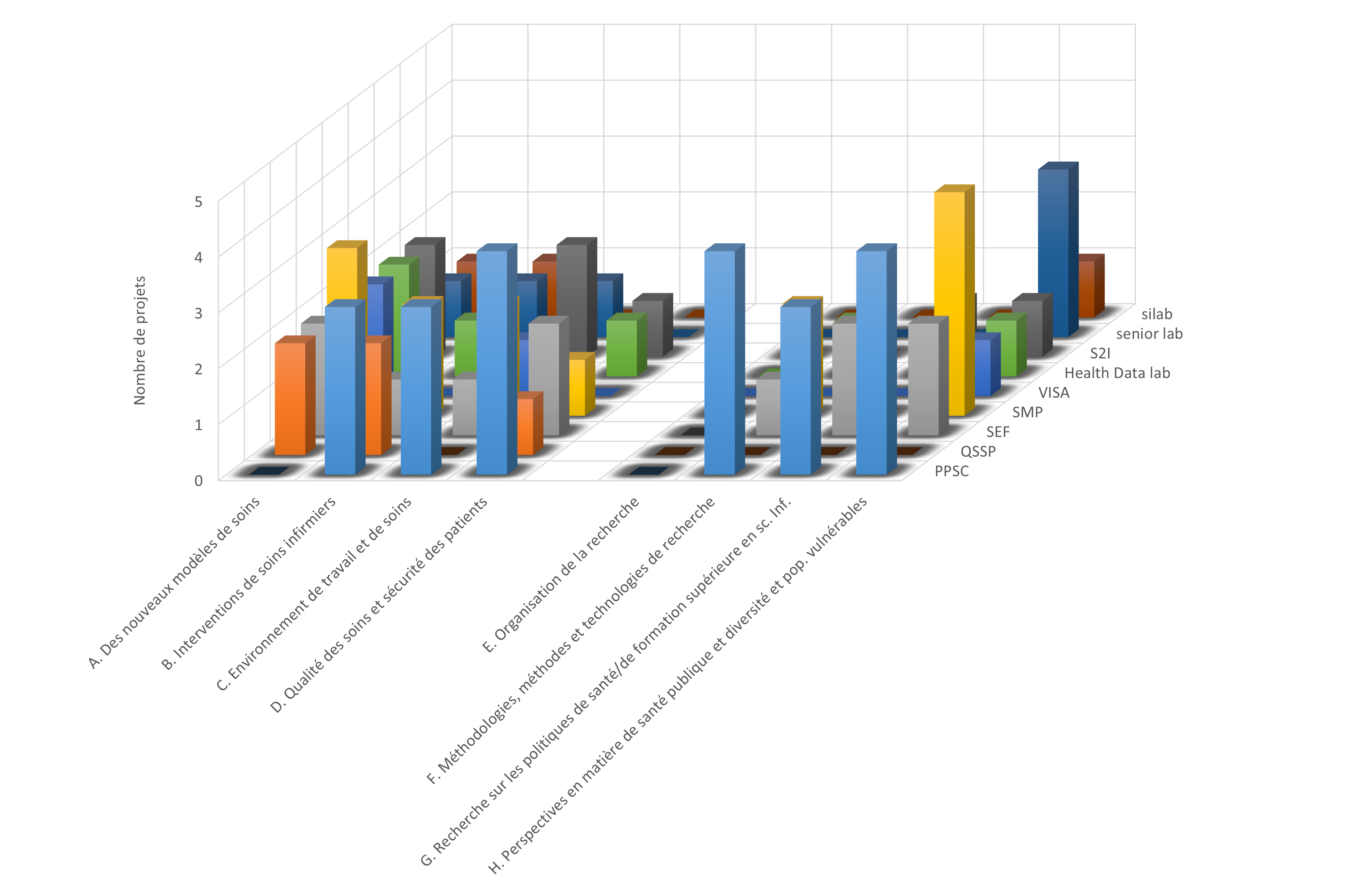
Nos équipes ont confirmé leur capacité à obtenir des financements compétitifs: 18 projets ont été lancés en 2025. Les publications scientifiques revues par les pairs se sont accrues, de même que les actions de valorisation, notamment à travers une vitrine dédiée aux projets de recherche. Sans oublier la soutenance d’une thèse et le lancement d’une nouvelle, portant à huit le nombre de thèses en cours.
> Les projets et publications 2025 <
La reconnaissance du personnel d’enseignement et de recherche de La Source s’est aussi reflétée dans les nombreuses sollicitations d’expertise pour des journaux scientifiques, plus d’une vingtaine pour le seul dernier trimestre.
Dans leur grande majorité, ces projets s’inscrivent dans les priorités établies par l’Agenda de Recherche Suisse pour les Soins Infirmiers (SRAN), qui constitue la référence nationale pour orienter le développement de la recherche dans la discipline. Une sélection illustre cette dynamique.

Des projets au cœur des sciences infirmières
Data4Patient, soutenu par Innosuisse, réunit la HE‑Arc Ingénierie, la HES SO, La Source, le H4 et la start-up Precisia Care pour développer un outil d’intelligence artificielle capable d’anticiper la charge de travail infirmière. Le projet Digital PCC vise à rendre les plans de crise conjoints accessibles sous forme numérique afin d’améliorer la gestion des crises psychiques. EVALIPS se penche sur l’implémentation du rôle d’infirmier·ère praticien·ne spécialisé·e dans les EMS vaudois, afin d’en évaluer les effets et d’en soutenir une intégration pérenne. Enfin, Nurses_Gen analyse les déterminants intergénérationnels du bien-être infirmier, avec l’objectif d’identifier des ajustements organisationnels adaptés à un contexte de pénurie.
Un renouveau porteur de perspectives
L’appellation «Recherche et Développement» est devenue «Recherche et Innovation» au 1er janvier 2025. Ce changement vise à aligner notre terminologie avec le narratif de la recherche dans les Hautes écoles spécialisées, d’une part. Il s’agit, d’autre part, de signaler une véritable évolution conceptuelle dans laquelle La Source s’est pleinement inscrite depuis plusieurs années.
Ces changements s’accompagnent du lancement de deux nouveaux laboratoires: le Laboratoire des données de santé et le Laboratoire Systèmes de santé et interprofessionnalité. On compte désormais cinq Laboratoires d’Enseignement et de Recherche (LER) et quatre Laboratoires (LAB), qui collaborent étroitement. Cette organisation permet à notre école de répondre efficacement aux problématiques émergentes ou évolutives, en s’appuyant sur une recherche structurée, interdisciplinaire et étroitement connectée aux réalités du terrain.
SILAB
Le Source Innovation Lab a poursuivi en 2025 le développement de ses activités en consolidant son rôle de laboratoire de prospective et d’innovation pionnier au sein de la Fondation La Source, positionné à l’interface entre formation, pratiques professionnelles, recherche appliquée et société.
Temps fort de l’année, le Défi Source 2025 a mobilisé plus de 200 étudiant·es, professionnel·les de santé, patient·es et 34 partenaires industriels, académiques et cliniques autour de problématiques concrètes liées à l’évolution des soins et de la santé. Ce dispositif a favorisé l’interdisciplinarité, l’esprit entrepreneurial et le passage de l’idée à l’expérimentation, contribuant ainsi à renforcer durablement la culture de l’innovation au sein de l’institution en sus des enseignements qu’il propose aux étudiant·es en soins infirmiers et en médecine.
Parallèlement, le SILAB a poursuivi le déploiement des rencontres Toque et Doc, un format de médiation scientifique croisant expertises médicales, nutritionnelles et expériences culinaires. Les thématiques abordées en 2025 ont porté sur la nutrition au service des performances intellectuelles et de la récupération physique, participant à la sensibilisation du public aux enjeux des déterminants nutritionnels de la santé.
En collaboration avec le Centre hospitalier universitaire vaudois, il a pris part à la journée QualiDay, au cours de laquelle des étudiant·es ont décerné les distinctions « Crushs SILAB », valorisant des projets innovants issus du terrain et à fort impact pour les soignant·es de demain.
Enfin, le SILAB a renforcé sa visibilité à travers sa participation à plusieurs événements professionnels et scientifiques, tels que les Nurse Days, la Global Entrepreneurship Week Lausanne et les Journées Francophones de Nutrition ou des rendez-vous médiatiques à large audience.
H4
En 2025, le H4 a confirmé sa montée en puissance en renforçant son organisation, en élargissant sa communauté et en affirmant son rôle central dans l’écosystème de l’innovation en santé. L’équipe opérationnelle s’est consolidée tandis que l’implication du Health Care Advisory Board, du réseau d’experts et du comité de soutien s’est accrue. Cette structuration a permis d’offrir un accompagnement plus personnalisé et holistique aux porteurs de projets.
L’année a également été marquée par une croissance du portefeuille, avec 47 projets accompagnés (138 depuis 2022), soutenus par un réseau de 90 organisations, 50 mises en relation et 104 heures d’ateliers. Dix séances du comité de soutien ont enrichi l’analyse terrain et renforcé la pertinence des solutions développées. Le H4 a par ailleurs intensifié ses collaborations avec ses partenaires institutionnels et entrepreneuriaux, contribuant à structurer un réseau solide au service de l’innovation.
Sur le terrain, l’équipe a participé à 28 événements en 2025, accroissant la visibilité du hub et stimulant les échanges avec les acteurs régionaux. L’organisation de son propre événement, «Qui veut être mon soignant?», a constitué un moment fort: une première édition saluée pour la qualité des échanges entre soignants, entrepreneurs et experts, illustrant la volonté du H4 de placer les utilisateurs au cœur des décisions d’innovation.
Ainsi, 2025 s’impose comme une année fondatrice pour le H4: croissance de l’équipe, communauté élargie, impact renforcé et collaborations structurées. Cette dynamique solide ouvre la voie à une année 2026 prometteuse, portée par la volonté continue d’accompagner des solutions répondant aux besoins réels du système de santé.